Lorenza Giuditta Borgna
Introduction
In Asia, the application of Monascus Purpureus (a species of mold that is purplish-red in color) in food, medicine and industry dates back over thousand years.
It has been called with several names: "Anka", "Red Koji", "Red Chinese Rice" but in the occidental society it is known as "Red Mold Rice" (RMR) or "Red Yeast Rice" (RYR).
Monascus fermented products contain several bioactive metabolites such as pigments, polyketide Monacolins, Dimerumic Acid and γ-Aminobutyric Acid, that are used for medical purposes. The function of these products included reducing blood serum Cholesterol, anti-fatigue and decreasing Amyloid β peptide accumulation.
Related literature was found as early as the North Song Dynasty and records in the Compendium of Materia Medica (Li 1596; Compendium of Materia Medica Systematic Pharmacopoeia) show that Monascus Purpureus can treat indigestion, enhance blood circulation and invigorate the spleen and the stomach.
In the Daily Herbal, Wu Re from the Yuan Dynasty advised that Red Mold Rice (RMR) wine will remove blood stasis and improve the efficacy of drugs.
Because of its multiple therapeutic effects, more and more scholars have begun to study RMR in recent years.
Red Mold Rice is produced by inoculating the mycete Monascus Purpureus into steamed rice.
The manufacturing method is as follow: Slant Culture --> Inoculation --> Turning and Mixing --> First Watering --> Second Watering --> Final Watering --> Drying --> Finished Product.
Monascus growth is extremely varied and its secondary metabolites tend to vary easily with the growth conditions. In one of the studies on the secondary metabolites of Monascus species, it was found that higer level of Monacolins and Monascin could be obtained by Monascus Purpureus NTU 568, which is a new Monascus isolated with several function.
The function of NTU 568 fermented products included, as said before, reducing circulating Cholesterol, decreasing Amyloid β peptide accumulation and drecreasing blood pressure.
Monascus Purpureus secondary metabolites
Monascus spp. can produce several bioactives metabolites: several pigments (red pigment: Monascorubramine and Rubropunctanin, orange pigment: Monascorubrin and Rubropunctanin, yellow pigment: Ankaflavin and Monascin), isoflavones, polyketide, monacolins ,dimerumic acid, γ-Aminobutyric Acid (GABA).

Beneficial Effect on Cholesterol Levels
In Europe and the USA, more than 51% of total mortality is caused by cardiovascular diseases (including stroke, hypertension, coronary heart disease etc.) as a result of high blood cholesterol.
The consumption of Red yeast rice has been studied in animals and humans in China and has been found to reduce cholesterol concentrations by 11–32% and triacylglycerol concentrations by 12–19% (Effects of Xuezhikang on blood lipids and lipoprotein concentrations of rabbits and quails with hyperlipidemia, 1995).
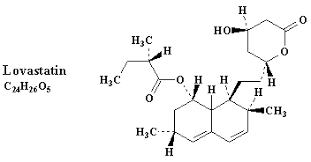
This effect is due to a Monascus metabolite known as Monacolin K.
The first researcher to successfully isolate Monacolin K from Monascus Ruber cultivation liquid was Professor Endo (Monacolin k, a new hypocholesterolemic agent produced by a monascus species,1979).
Due to its similarity in structure to HMG-CoA (3-Hydroxy 3-Methylglutaryl Coenzyme A), Monacolin K will compete with HMG-CoA Reductase , inhibiting it and prohibiting the formation of Mevalonic Acid, which will indirectly inhibit cholesterol synthesis and reduce the effect of intracellular cholesterol.

Red yeast rice has also been used in the Asian American community in the United States since World War II. Reducing cholesterol concentrations was shown, in several large prospective clinical trials, to be useful in the primary and secondary prevention of heart disease and the other complications of atherosclerosis (Lipid Research Clinics Program. The Lipid Research Clinics coronary primary prevention trial results. 1984).
A study was conducted to examine the efficacy and safety of red yeast rice in lowering cholesterol concentrations in an American population consuming a diet similar to the American Heart Association Step I diet. A double-blind, prospective, randomized design was used to attempt to separate the effects of the diet from those of the supplement. The subjects in this study were instructed in a diet recommended as part of the National Cholesterol Education Program.
In this study, red yeast rice significantly reduced cholesterol concentrations, beyond effects that could be accounted for by diet alone, and without significant adverse effects.
This finding has been confirmed (but of different entity, according to the limitations of the experimentations) in many studies during several years by lots of different societies and medical teams.
There were three studies that compared the use of dietary supplements of RMR/RMD (Red Mold Dioscorca, a root which produces high contents of yellow pigments) and lifestyle changing to a Statin (study number 1: (Tolerability of red yeast rice versus pravastatin in patients with previous statin intolerance, 2010), study number 2: (Simvastatin vs therapeutic lifestyle changes and supplement,2008), study number 3: (Antihyperlipidaemic effect of a Monascus Purpureus brand dietary supplement on a large sample of subjects at low risk for cardiovascular disease: a pilot study,2005).
All the results showed that RMR/RMD combined with therapeutic lifestyle changes (especially with a correct diet) has the same efficacy as statins alone in lowering circulating cholesterol.
Beneficial effect on Blood Pressure
It is known that the Monascus genus produces pigments such as rubropunctatin, moonascorubrin and monascin, and enzymes such as proteases and ribonucleases. After several studies, acetylcholine and GABA were isolated and identified as hypotensive principles.
Acetylcholine, acting on muscarinic receptors of endothelial cells, stimulates the release of a substance that causes relaxation of the vascular smooth muscle, followed by systemic hypotension.
The action of acetylcholine is transient because it is easily hydrolyzed by cholinesterase in the body, peripherally administered GABA produces comparatively prolonged hypotension, probably by exerting a neuromodulatory effect on cardiovascular function via peripheral actions which are influenced by type on anesthesia, resting values of cardiovascular parameters, degree of activity of the sympathetic nervous system and catecholamine release from the adrenal medulla. (Differences in cardiovascular responses to peripherally
administered GABA as influenced by basal conditions
and type of anaesthesia,1986)
Recently, Tsuji at al. reported that chronic dietary administration of red-mold rice reduced the elevated blood pressure of SHR. The two active principles isolated from the rice should account at least in part for the hypotensive effect of dietary administration of the rice, but this requires confirmation.
(Isolation and identification of hypotensive principles in red-mold rice,1987).
Beneficial effect on Alzheimer’s Desease
Alzheimer's disease (AD) is characterized by extracellular deposits of fibrillar β-amyloid (Aβ) in the brain, a fulminant microglial-mediated inflammatory reaction, and neuronal death. Amyloid β-peptide (Aβ) causes cell death by inflammation and oxidative stress. Red mold rice (RMR) fermented by Monascus species, regarded as cholesterol-lowering functional food in virtue of the metabolite monacolin K identified as lovastatin, is also demonstrated to express antioxidation because of multiple antioxidants. RE 568, an ethanol extract of RMR produced by strain Monascus purpureus NTU 568, is used to protect PC12 cell (rat adrenal medulla pheocromocytoma) against Aβ40 neurotoxicity. The Monacolin K in this ethanol extract of RMR fermented, can inhibit small G-protein from activation by inhibiting the formation of downstream product GeranylGeranyl Pyrophosphate (GGpp), so that the inflammation induced by Aβ40 is also inhibited.
(3-Hydroxy-3-Methylglutaryl-Coenzyme A Reductase Inhibitors Attenuate β-Amyloid-Induced Microglial Inflammatory Responses,2005), (Red mold rice extract represses amyloid beta peptide-induced neurotoxicity via potent synergism of anti-inflammatory and antioxidative effect,2008)
Statin and Vitamin D
Statins have shown variable effects on vitamin D levels in humans. It is demonstrated by some clinical trials that four marketed Statins (Rosuvastatin, atorvastatin, lovastatin and simvastatin) robustly increases vitamin D levels. (As said before, Monacolin K is chemically identical to Lovastatin).
It’s suggested that increased levels of vitamin D could explain some of the beneficial effects of Statins at the cardiovascular and bone metabolism levels that are unrelated to cholesterol levels.
(Possible mechanisms of interaction between statins and vitamin D,2012)
(Increased Levels of 25 Hydroxyvitamin D and 1,25-Dihydroxyvitamin D After Rosuvastatin Treatment: A Novel Pleiotropic Effect of Statins?,2009)
(Monitoring plasma levels of vitamin D metabolites in simvastatin (Zocor) therapy in patients with familialhypercholesterolemia,1994)
(The effect of atorvastatin and simvastatin on vitamin D, oxidative stress and inflammatory marker concentrations in patients with type 2 diabetes: a crossover study,2013)
The mechanism by which these statins increases vitamin D levels is unknown and further studies are needed. There were advanced different hypothesis:
* Cholesterol and vitamin D share the 7-dehydrocolesterol metabolic pathway, so the mechanism by which Statins increase vitamin D is related to inhibition of HMG-CoA reductase
(Effects of Atorvastatin on vitamin D levels in patients with acute ischemic heart disease,2007)
* Scavenger Receptor class B type I (SR-BI), Cluster Determinant 36 (CD36), and Niemann-Pick C1 Like 1 (NPC1L1) membrane transporters are involved in cholesterol transport across enterocyte membranes. Some studies have recently showed that intestinal absorption of vitamin D is not occurring only by a simple passive diffusion process, but also some membrane transporters such as SR-BI, CD36 and NPC1L1 may be involved in this phenomenon.
In vitro experiment showed that atorvastatin induced a significantly increased SR-BI mRNA expression in a dose-dependent manner.
(Statins and vitamin D,2012)
* Based on experiments with radioactively labeled cholecalciferol and 25-(OH)-D3, ~1% of the amount of 25-(OH)-D3 in the body is excreted every day by the kidney and ~2% in the feces via bile after further hydroxylations (e.g., to calcitroic acid) and coupling reactions (glucuronidation). Theoretically, it seems possible that kidney clearance of 25-(OH)-D3 and its further hydroxylated metabolites is inhibited by rosuvastatin
(Does rosuvastatin increase serum levels of 25-hydroxy-vitamin D?,2012)
Safety and Side Effects
In recent years,a big interest grown up around yeast rice supplements, expecially for their lipid-lowering effects. Whereas the evidence in favor of these products is still being developed and refined, dietary supplement industries have proceeded without delay to produce a number of RYR formulations. These food supplements are marketed and mediatized as a “natural” alternative to lipid lowering drugs and as a solution for patients who experience statin-associated myalgia. RYR products are now widely available as over-the-counter products; however, monacolin levels per gram of labeled “active product” are not standardized and show substantial variability among marketed products. In many countries the efficacy of none of the RYR preparations has been studied in a satisfactory way, making any informed advice for consumers impossible. (Marked variability of monacolin levels in commercial red yeast rice products:buyer beware!, 2010!)
Whether RYR preparations should be considered as dietary supplements or as drugs is still under debate. In the US, the Food and Drug Administration (FDA) considers these supplements as (unapproved) drugs when they contain a specific, standardized amount of lovastatin. In addition, in some products, potentially harmful levels of suspected nephrotoxins (as Citrin) have been found. So, consumers need to be warned that the actual content of commercially available preparations is not assured by government regulations, which raises effectiveness and safety issues.
In these years, many studies were conducted to establish efficacy and safety of RYR by reporting adverse events (muscle ache, muscle weakness, muscle stiffness and cramps, arthralgia) and clinical laboratory measurements (CPK and tramsaminase levels), that were analyzed based on change from baseline.
Lin CC conducted a randomized, double-blind, placebo-controlled study in which 79 patient with hyperlipidemia received a twice daily dose of placebo or Monascus purpureus Went rice (600 mg) for 8 weeks. The result was that no patient in the Monascus purpureus Went rice treatment group had an alanine aminotransferase (ALT), aspartate aminotransferase (AST) or creatine phosphokinase (CPK) measurement that was > or = 3 times the upper limit of normal at week 4 and week 8. Statin therapy is known to cause increases in CPK activity, nevertheless no trials have examined the effect of RYR on CPK so far.
The RYR seems to be well tolerated by the patients. However, this study only provides data from an 8-week trial and long-term safety and efficacy data are needed. (It seems that researchers don’t know whether it is safe to use Red Yeast Rice for longer than 12 weeks).
(Efficacy and safety of Monascus purpureus Went rice in subjects with hyperlipidemia,2005)
Another randomized and controlled trial was conducted by Becker DJ and Gordon RY (Red yeast rice for dyslipidemia in statin-intolerant patients: a randomized trial,2009) to evaluate the effectiveness and tolerability of red yeast rice in patients who cannot tolerate artificial statin therapy. Patients were assigned by random allocation software to receive red yeast rice, 1800 mg, or placebo twice daily for 24 weeks. Conclusion was that RYR (associated with therapeutic lifestyle change) decrease LDL cholesterol level without increasing CPK or pain levels and may be a treatment option for dyslipidemic patients who cannot tolerate statin therapy. However, the team underline that the study was small, was single-site, was of short duration, and focused on laboratory measures.
Same conclusions has another trial of Becker and Gordon (Phytosterols, red yeast rice, and lifestyle changes instead of statins: a randomized, double-blinded, placebo-controlled trial,2013). Only four participants (total participants: 187) experienced intractable myalgias necessitating cessation of RYR.
Myopathy occurs in approximately 10% of statin-treated patients, which a spectrum ranging from rhabdomyolysis to (in a vast majority) myalgias without elevation in serum creatine kinase (CPK) levels. There’s no surprise that myopathy, including rhabdomyolysis, has also been reported in patients taking products containing RYR . (Myopathies associated with red yeast rice and liquorice: spontaneous reports from the Italian Surveillance System of Natural Health Products,2008) (Symptomatic myopathy due to red yeast rice,2006) (Chinese red rice-induced myopathy,2003) .
It should be kept in mind that also naturally occurring statins in RYR, as any other HMG-CoA reductase inhibitor, can cause myopathy, although up to now it does not seem to be a common finding.
Histological findings in statin-induced myopathy demonstrate electron chain dysfunction making "mitochondrial myopathy" the more precise term. This mitochondrial myopathy has been associated with statin-induced CoQ10 depletion (it is infact a cholesterol-based compound).(Statin-induced Myopathy,2012).
It has been found that RYR can cause even, in rare case, hepatotoxicity (Symptomatic hepatitis associated with the use of herbal red yeast rice,2008)
People with liver disease and those at risk for liver disease should not take red yeast rice because, as said before, Red yeast rice may affect the function in the same way prescription drugs to lower cholesterol can. Also people with kidney disease, thyroid problems, organ transplanted or musculoskeletal disorders.
Other side effects of red yeast rice are rare but can include:
- Headache
- Stomach ache or bloating
- Gas
- Dizziness
- Heartburn
- Muscle aches and weakness -- this can lead to a rare but serious condition called rhabdomyolysis
Finally we could say that Red yeast rice should be taken only under a physician's direction, and lipid levels, liver enzymes, and muscle symptoms should be evaluated regularly.
Furthermore, the lack of regulation in the food supplement industry raises issues concerning efficiency and safety.
Studies with longer follow up are warranted to asses long-term safety and effectiveness.
Conclusions: RYR vs Statin
Red Yeast Rice and Statin have some side effects in common, but in different percentage: in clinical trials with Statin, the reports of myalgia vary from less than 1% to 25% of patients (Statin-induced Myopathy,2012), (Statin-induced myopathy: a review and update,2011), whereas in clinical trials with Red Yeast Rice the incidence of withdrawal from medication owing to myalgia was 5%. (Tolerability of Red Yeast Rice(2,400 mg Twice Daily)Versus Pravastatin(20 mg Twice Daily)in Patients With Previous Statin Intolerance,2009).
Currently, no consensus has been reached regarding the management of hyperlipidemia in patients who develop statin-associated myalgia (SAM). Many statin-intolerant patients use alternative lipid-lowering therapies, including red yeast rice, instead of none therapy.
RYR has shown to be an alternative which is moderately efficient, acceptable and well supported.
p=. 